PIPIMATH
Aller à la navigation
Aller à la recherche
| Cette page fait site WikiSbec de Sébastien Bruneau. Si vous êtes perdu, vous pouvez retourner à l'accueil en cliquant ici , ou au portail des sites sbeccompany.fr en cliquant ici |
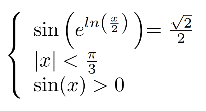
Résoudre le système suivant :
<math>\left{ \begin{array}{l}
\sin \left( e^{ ln \left( \frac{x}{2} \right) } \left) =\frac{\sqrt{2}}{2} \\
\left| x \right| < \frac{\pi}{3} \\
\sin (x) > 0
\end{array}
</math>
Indice : "Majuscules en 8. Toujours. Et même en grec. Ouais ouais."
Indice 2 : "Restez dans le coin, pas la peine de sortir d'ici !"
